Сердечно-легочная реанимация у детей

Сердечно-легочная реанимация у детей

Послідовність реанімаційних заходів у дітей загалом подібна до таких, як у дорослих (етапи А–В–С: Airways – відновлення прохідності дихальних шляхів, Breath – відновлення дихання, Circulation – відновлення кровообігу). Однак, на відміну від дорослих, при проведенні заходів щодо підтримки життя у дітей особлива увага надається забезпеченню прохідності дихальних шляхів і проведенню штучної вентиляції легень.

Общая информация

(Складено на підставі керівних положень Міжнародного поєднувального комітету з педіатричної реанімації – ILCOR)

Д.М. Сурков

Однак, на відміну від дорослих, при проведенні заходів щодо підтримки життя у дітей особлива увага надається забезпеченню прохідності дихальних шляхів і проведенню штучної вентиляції легень. Якщо реанімація дорослих грунтується на факті первинності серцевої недостатності, то в дитини зупинка серця – це фінал процесу поступового згасання фізіологічних функцій організму, ініційованого, як правило, дихальною недостатністю. Первинна зупинка серця виникає дуже рідко, а шлуночкова фібриляція/тахікардія є причиною термінальних станів менш ніж у 15% випадків.

Етап А. Реанімаційні заходи на догоспітальному етапі (базисний рівень)

  1. Забезпечити безпеку реаніматора і реанімованої дитини.

  2. Перевірити реакцію дитини на зовнішні подразники. Грудних дітей і дітей з підозрою на ушкодження шийних хребців не слід трясти.

    А. Якщо дитина реагує на стимуляцію словесно чи рухами:

    • залишити дитину в положенні, у якому вона була знайдена (за умови, що вона не піддається подальшій небезпеці);
    • перевірити її стан і надати необхідну допомогу;
    • надалі регулярно перевіряти стан дитини.

    Б. Якщо дитина не реагує на стимуляцію:

    • покликати на допомогу;
    • відновити прохідність дихальних шляхів, розігнувши голову і висунувши нижню щелепу дитини;
    • якщо це можливо у тому положенні, у якому дитина була виявлена, покласти руку на чоло дитини і злегка закинути ії голову назад;
    • одночасно з цим, помістивши пальці під підборіддям дитини, висунути ії нижню щелепу, щоб відкрити дихальні шляхи. Не слід сильно натискати на м’які тканини під підборіддям, тому що це може зумовити обтурацію дихальних шляхів;
    • при підозрі на травму шийного відділу хребта варто уникати перерозгинання голови, можна використовувати тільки висування нижньої щелепи.
  3. Утримуючи дихальні шляхи у відкритому стані, протягом 10 секунд перевірити наявність самостійного дихання (візуально, на слух чи дотик):

    • візуально перевірити наявність рухів грудної клітки;
    • вислухати наявність дихальних шумів поблизу рота і носа дитини;
    • відчути рух повітря своєю щокою.

А. Якщо дитина дихає:

  • повернути її на бік;
  • переконатися у тому, що вона продовжує дихати.

Б. Якщо дитина не дихає:

  • ретельно усунути непрохідність дихальних шляхів (механічно очистити ротову порожнину);
  • виконати 5 штучних вдихів, стежачи за тим, щоб кожний з них забезпечував розправлення грудної клітки.

Методика проведення штучної вентиляції легень (ШВЛ)

  1. Переконатися, що голова розігнена і нижня щелепа виведена.
  2. Закрити ніс, стиснувши його між указівним і великим пальцями руки, що лежить на чолі.
  3. Злегка відкрити рот дитини, але стежити, щоб при цьому нижня щелепа залишалася виведеною.
  4. У дітей старше 1 року охопити губами рот таким чином, щоб при вдиху контакт був герметичним.
    У немовлят охопити губами рот і ніс таким чином, щоб контакт був герметичним.
  5. Плавно вдувати повітря в дихальні шляхи дитини протягом 1-1,5 секунди, стежачи за тим, щоб під час вдиху грудна клітка розправлялася.
  6. Утримуючи голову в розігненому положенні і нижню щелепу у виведеному стані, відвести свій рот від обличчя дитини, при цьому переконатися, що відбувається пасивний видих і грудна клітка дитини спадається.
  7. Виконати цю послідовність до 5 (але не менше 2) разів.

Якщо виникають труднощі при спробах здійснення ефективного штучного вдиху, то вони можуть бути зумовлені обструкцією дихальних шляхів.

При цьому необхідно:

  • відкрити рот дитини й усунути обструкцію;
  • переконатися в адекватності розгинання голови і виведення нижньої щелепи, а також у відсутності надмірного розгинання шиї;
  • зробити до 5 спроб, щоб досягнути виконання не менше 2 ефективних вдихів.

Якщо спроби штучного дихання, як і раніше, безуспішні, варто перейти до методики усунення обструкції дихальних шляхів, зумовленої стороннім тілом.

Оцінити стан дитини, затративши не більше 10 секунд.

  • перевірити пульс:

    у дітей старше 1 року пропальпувати пульсацію сонної артерії на шиї;
    у немовлят перевірити пульсацію плечової артерії на внутрішній поверхні плеча.

  • перевірити наявність будь-яких рухів, у тому числі ковтання чи дихання (реального, а не періодичного «гаспінгу»).

А. Якщо протягом 10 секунд з упевненістю встановлено наявність ознак кровообігу:

  • продовжувати проведення штучного дихання (якщо це необхідно) доти, поки в дитини відновиться ефективне самостійне дихання;
  • повернути дитину на бік (у положення «прокидання»), якщо вона залишається непритомною.

Б. При відсутності ознак кровообігу чи невпевненості в їхній наявності, а в грудних дітей також при занадто рідкому пульсі (менше одного удару за секунду) – приступити до проведення зовнішнього масажу серця, поєднуючи його зі штучною вентиляцією легень.

Методика зовнішнього масажу серця

У немовлят:
  1. Пропальпувати грудину і помістити кінчики двох пальців на середню лінію грудини на ширину одного пальця нижче міжсоскової лінії.
  2. Кінчиками двох пальців натиснути на грудину так, щоб глибина натискання становила 1/3 сагітального діаметра грудної клітки.
  3. Продовжити натискання з частотою близько 100 за хвилину (близько 2 натискань за секунду).
  4. Після 5 натискань – розігнути голову дитини, вивести нижню щелепу і виконати 1 ефективний вдих.
  5. Негайно повернути свої руки на грудину дитини і повторити наступні 5 натискань.
  6. Продовжувати проведення зовнішнього масажу серця і ШВЛ у співвідношенні 5:1.
У дітей старше 1 року:
  1. Розташувати подушечку своєї долоні на нижнiй частинi грудини вище мечоподібного відростка грудини.
  2. Підняти пальці своєї руки (максимально розігнути долоню), щоб при виконанні зовнішнього масажу серця не натискати на ребра.
  3. Розташуватися вертикально над грудною кліткою дитини і, утримуючи руки прямими, натиснути на грудину так, щоб глибина натискання становила 1/3 сагітального діаметра грудної клітки.
  4. Виконувати натискання з частотою близько 100 за хвилину (трохи менше, ніж 2 натискання за секунду).
  5. Після 5 натискань розігнути голову дитини, вивести нижню щелепу і виконати 1 ефективний вдих.
  6. Негайно повернути свої руки на грудину і виконати чергові 5 натискань.
  7. Продовжувати проведення зовнішнього масажу серця і ШВЛ у співвідношенні 5:1.

У дітей старше 8 років:

  1. Розташувати подушечку однієї долоні на нижнiй частинi грудини, а іншу долоню – поверх неї.
  2. Зчепити пальці обох рук і підняти їх, щоб при виконанні зовнішнього масажу серця не натискати на ребра.
  3. Розташуватися вертикально над грудною кліткою дитини і, утримуючи руки прямими, натискати на грудину так, щоб глибина натискання становила 1/3 сагітального діаметра грудної клітки.
  4. Повторити натискання з частотою близько 100 за хвилину (трохи менше, ніж 2 натискання за секунду).
  5. Після 15 натискань – розігнути голову дитини, вивести нижню щелепу і виконати 2 ефективні вдихи.
  6. Негайно повернути свої руки на грудину дитини і виконати наступні 15 натискань.
  7. Продовжувати проведення зовнішнього масажу серця і ШВЛ у співвідношенні 15:2.

Проведення реанімаційних заходів продовжувати до:

  • появи у дитини ознак життя (самостійного дихання та пульсу);
  • прибуття кваліфікованої допомоги;
  • утоми реаніматора, при якій подальша реанімація фізично неможлива.

Коли необхідно покликати на допомогу?

Для реаніматора важливо якомога раніше отримати допомогу.

За наявності двох реаніматорів один повинен приступити до проведення реанімаційних заходів, а інший – відправитися за допомогою.

За наявності тільки одного реаніматора перед тим, як відправитися за допомогою, протягом приблизно 1 хвилини необхідно проводити реанімаційні заходи. Відправляючись за допомогою, грудну чи маленьку дитину можна взяти із собою.

Етап Б

  1. Виконати реанімаційні заходи базисного рівня (схема 1).
  2. Проводити оксигенацію і вентиляцію з позитивним тиском і 100% вмістом кисню.
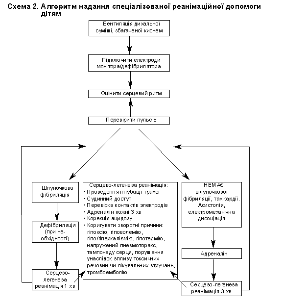
  3. Підключити дефібрилятор і монітор:
    • розташувати пластини дефібрилятора на грудну клітку: одну безпосередньо під правою ключицею, іншу на лівій передній пахвовій лінії;
    • у грудних дітей при використанні для моніторингу цих позицій більш доречне розташування пластин дефібрилятора попереду і позаду грудної клітки;
    • при проведенні моніторингу із застосуванням звичайного монітора розмістити електроди у зручних місцях грудної клітки.
  4. Оцінити ритм і перевірити пульс. На перевірку пульсу може бути витрачено не більше 10 секунд:
    • перевірити пульсацію сонної артерії на шиї чи плечової артерії на внутрішній поверхні плеча;
    • оцінити ритм на моніторі.

А. Асистолія чи електромеханічна дисоціація. Ці порушення ритму – найчастіша причина смерті у дітей.

Увести адреналін:

  • при наявності венозного доступу – у дозі 10 мкг/кг (0,1 мл 0,01% розчину на 1 кг маси тіла);
  • при відсутності венозного доступу – у дозі 100 мкг/кг (0,1 мл 0,1% розчину на 1 кг маси тіла) у трахею.
    • Протягом 3 хвилин проводити базисні заходи серцево-легеневої реанімації.
    • Якщо венозний доступ уже забезпечений, повторити уведення адреналіну в дозі 100 мкг/кг (0,1 мл 0,1% розчину на 1 кг маси тіла).
    • Повторити цикл – уведення адреналіну в дозі 100 мкг/кг із наступним проведенням серцево-легеневої реанімації протягом 3 хвилин.
    • Оцінити доцільність застосування інших лікарських препаратів і лікувати зворотні причини.

Б. Фібриляція шлуночків, чи безпульсова шлуночкова тахікардія – це порушення ритму у дітей зустрічається рідше, але реаніматор повинен знати про можливість швидкого й ефективного його усунення.

  • Розташувати пластини дефібрилятора на грудній клітці: одну безпосередньо під правою ключицею, іншу – на лівій передній пахвовій лінії. У грудних дітей при використанні для моніторингу цих позицій більш доречним може бути розташування пластин попереду і позаду грудної клітки.
  • Виконати електричну дефібриляцію трьома наступними (один за іншим) розрядами потужністю: 2 Дж/кг, 2 Дж/кг, 4 Дж/кг.
  • Виконати дефібриляцію трьома імпульсами: 4 Дж/кг, 4 Дж/кг, 4 Дж/кг.
  • Якщо фібриляція шлуночків, чи шлуночкова тахікардія, зберігається, провести реанімаційні заходи базисного рівня протягом 1 хвилини.

Повторювати цикли дефібриляції і реанімаційних заходів базисного рівня до досягнення нормалізації ритму.

Етап В. Заходи спеціалізованої допомоги при проведенні серцево-легеневої реанімації

  1. Виконати заходи базисного рівня (схема 1).
  2. Ужити відповідних заходів для забезпечення прохідності дихальних шляхів (схема 2):
    • виконати інтубацію трахеї;
    • через регулярні проміжки часу перевіряти правильність положення інтубаційної трубки.
  3. Налагодити проведення ШВЛ:
    • проводити вентиляцію 100% киснем за допомогою дихального мішка, що саморозправляється (типу «Амбу»);
    • надалі забезпечити проведення ШВЛ апаратним методом.
  4. Забезпечити надійний судинний доступ (бажано внутрішньовенний).
  5. Кожні 3 хвилини вводити адреналін.
  6. Оцінити доцільність уведення бікарбонату натрію для корекції тяжкого ацидозу (4% розчин 2 мл/кг).
  7. Коригувати зворотні причини, до яких належать:
    • гіпоксія;
    • гіповолемія;
    • гіпер- чи гіпокаліємія;
    • гіпотермія;
    • напружений пневмоторакс;
    • тампонада серця;
    • порушення внаслідок впливу токсинів чи лікарських засобів;
    • тромбоемболи.
  8. При ефективності реанімації проводити інтенсивну терапію, спрямовану на подальше підтримання життя і профілактику вторинних змін у головному мозку після перенесеної аноксії.