Хронотерапия аллергического ринита

Хронотерапия аллергического ринита

Фармакокинетика и фармакодинамика многих лекарственных средств зависит от циркадных ритмов организма человека. Традиционно стратегия лечения заболеваний человека состоит в назначении равных доз лекарственных средств через равные промежутки времени, чтобы

Статья подготовлена по материалам публикации «Twenty-four hour pattern in symptom intensity of viral and allergic rhinitis: Treatment implications», Michael H. Smolensky, PhD, Alain Reinberg, MD, and Gaston Labrecque, PhD; Houston, Texas, Paris, France, and Quebec, Canada Подготовил Алексей Гладкий

Фармакокинетика и фармакодинамика многих лекарственных средств зависит от циркадных ритмов организма человека. Традиционно стратегия лечения заболеваний человека состоит в назначении равных доз лекарственных средств через равные промежутки времени, чтобы достичь постоянной концентрации препарата в крови и тканях. Однако потребность в лекарственном веществе в течение суток не постоянна. Симптомы инфекционного и аллергического ринитов также варьируют в течение суток; большинство пациентов отмечают выраженные проявления заболевания в утренние часы, после пробуждения, с последующим уменьшением их интенсивности в послеполуденное время. Показательность циркадных ритмов манифестации и интенсивности проявлений заболеваний человека, в том числе ринита, позволяет говорить о том, что потребность в лекарственных средствах неодинакова в течение суток. Поэтому повышение качества лечения в виде усиления полезных и уменьшения нежелательных эффектов может быть достигнуто путем хронометрированного введения препаратов согласно биологической временной структуре патологического процесса.

Пациенты, страдающие сезонным или круглогодичным аллергическим ринитом, часто предъявляют жалобы на беспокойный ночной сон и тревожность утром при пробуждении. Такие симптомы, как чихание, заложенный нос и ринорея, примерно у 70% больных с аллергическим ринитом более выражены в утренние часы. Хотя и пациенты, и аллергологи хорошо информированы про изменение симптомов на протяжении суток, относительно мало публикаций посвящено их циркадным закономерностям. Trousseau в 1865 г. впервые описал яркую утреннюю манифестацию и интенсивность назальных симптомов. Наблюдения за временны'м изменением симптомов позволили ученому сделать вывод, что аллергический ринит – это форма астмы, поражающая нос (l’asthme du nez).
Количественное изучение циркадных вариаций при аллергическом рините начато в 1970-х годах. Nicholson и Bogie (Великобритания) первыми провели оценку ежедневных (дневных) вариаций возникновения симптомов сенной лихорадки в исследовании, включившем 2042 пациента, отобранных случайным образом с различных регионов. С помощью вопросника исследователи выявляли пациентов с сенной лихорадкой и определяли наиболее беспокоящие симптомы (чихание, одышка, покраснение и зуд в глазах, заложенный нос). Отдельным вопросом было время суток (до завтрака, в утренние часы, около полудня, после полудня, вечером, в постели ночью, невозможно точно указать), когда вышеуказанные симптомы появлялись или усугублялись. К сожалению, информация о применении пациентами противоаллергических и других препаратов не собиралась.
Сенная лихорадка была идентифицирована у 246 больных. Наиболее часто встречающимися симптомами были чихание (82%), заложенный нос (56%), покраснение и зуд в глазах (46%). Каждый из этих симптомов появлялся, как правило, до завтрака и в утренние часы, продолжался до середины дня и позже (рис. 1). Одышка и кашель наблюдались у 20% респондентов. Эти симптомы, более свойственные бронхиальной астме, чем риниту, манифестировали в большинстве случаев в постели ночью или в утренние часы. Около 75% опрошенных указали на то, что наиболее беспокоящие проявления заболевания они отмечали в равной степени вечером, в постели ночью и в утренние часы при активизации.
В 1982 г. Binder et al. сообщили о дневном/ночном распределении симптомов у 512 финских пациентов с круглогодичным аллергическим ринитом и у 462 их сограждан с сезонным вариантом заболевания. При этом у 90% больных обеих групп заболевание длилось минимум год, у 50% – 5 лет и более. Данных относительно приема пациентами противоаллергических препаратов приведено не было. Информация о преобладании симптомов аллергического ринита и наиболее остром их проявлении в течение суток была получена с помощью вопросника.
Как и в работе Nicholson и Bogie, наиболее частой жалобой у пациентов с как сезонным, так и круглогодичным аллергическим ринитом было чихание (55 и 42% соответственно). Заложенность носа и ринорея были следующими по частоте симптомами и наблюдались соответственно у 16 и 26% всех респондентов. Около 10% опрошенных в качестве главного симптома указали одышку. В этом исследовании, как и в приведенных выше, утренние часы были самыми трудными независимо от варианта заболевания. У большинства пациентов с сезонным (56%) и круглогодичным (66%) ринитом обострения симптоматики происходили утром, относительно редко – вечером или ночью (рис. 2).
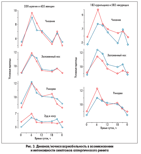
Работа Reinberg et al. была посвящена определению природы и значения дневной/ночной вариабельности интенсивности симптомов аллергического ринита. Эпидемиологическое исследование проводилось в 17 центрах по всей Франции. Диагноз аллергического ринита основывался на стандартных клинических критериях: положительной кожной пробе с антигеном, лейкоцитарной формуле, концентрации IgE и анамнезе. Каждый из 765 пациентов, включенных в исследование, самостоятельно оценивал выраженность симптомов с помощью визуальной аналоговой шкалы минимум 4 раза в день: после пробуждения утром, перед обедом и ужином, перед сном. За два дня до исследования и во время его пациенты прекращали прием каких-либо медикаментов.
Самооценка проводилась в равные промежутки времени между 6.00 и 0.00. Графики интенсивности симптомов показали выраженную дневную/ночную вариабельность интенсивности таких симптомов, как чихание, заложенный нос и ринорея (рис. 3). Все симптомы ухудшались в утренние часы при активизации пациентов, кроме того, наблюдался также менее выраженный вечерний пик. 
Объективная оценка циркадной ритмичности каждого симптома оценивалась с помощью косинорного анализа, для чего полученные данные были распределены по 24-часовой косинусоиде с наименьшими квадратами. 
Косинорный анализ выявил статистически значимые суточные ритмы чихания + заложенный нос или ринорея. Акрофаза этих ритмов была сопоставима и колебалась от 5.00 (чихание + заложенный нос) до 6.45 (чихание + ринорея). Как показал косинорный анализ, симптомы зуда в носу, раздражения глаз, кашля и одышки не имеют циркадных ритмов.
Изучение циркадных ритмов заболевания требует стандартизации и контроля изучаемых параметров. В случае аллергического ринита циркадная вариабельность была подтверждена исследованиями, проведенными в разных странах, у мужчин и женщин, молодых и пожилых, курильщиков и некурящих, при впервые диагностированном заболевании и хроническом течении, у пациентов с сезонным и круглогодичным ринитом. У большинства пациентов, ведущих активный образ жизни, симптомы появляются либо усугубляются утром, после пробуждения.
Тщательный анализ опубликованных отчетов, посвященных аллергическому риниту, выявил единственный утренний пик симптомов. Редко наблюдаемый второй пик у пациентов с аллергическим ринитом может представлять собой замедленную реакцию на антигены. Такие реакции обнаружены у больных бронхиальной астмой и аллергическим дерматитом.
Почему симптомы этих заболеваний подвержены таким значительным колебаниям на протяжении суток? Хотя механизмы вариабельности симптомов ринореи все еще изучаются, уже существует несколько мнений на этот счет. Некоторые авторы объясняют повышение количества используемых носовых платков в утренние часы необходимостью очистить носовую полость от скопившегося за время сна секрета. Другие исследователи более важным считают горизонтальное положение во время сна как причину усугубления заложенности носа. Еще одна гипотеза состоит в том, что утреннее обострение симптомов аллергического ринита происходит вследствие увеличения поступления антигенов, большей частью пылевых клещей, грибков и перьевого пуха во время ночного сна. Однако все эти теории нельзя считать окончательными, так как они базируются на временны'х изменениях окружающей среды и не учитывают возможного влияния циркадных ритмов организма человека.
Симптомы ринореи, независимо от этиологии, – проявление поражения ткани вследствие иммунологических реакций и высвобождения химических медиаторов, ассоциированных с воспалением верхних дыхательных путей. 
Традиционное лечение ринореи состоит в назначении топических назальных кортикостероидов и антагонистов Н1-рецепторов. Как правило, данные препараты назначаются несколько раз в день. Время назначения выбирается врачом таким образом, чтобы улучшить комплайенс пациента. Циркадные атрибуты ринореи, несмотря на широкое признание медицинской общественности, редко принимаются во внимание при составлении схемы фармакотерапии. Как полезные, так и нежелательные эффекты препаратов могут зависеть от циркадных ритмов.

Статья подготовлена по материалам публикации «Twenty-four hour pattern in symptom intensity of viral and allergic rhinitis: Treatment implications»,
Michael H. Smolensky, PhD, Alain Reinberg, MD, and Gaston Labrecque, PhD; Houston, Texas, Paris, France, and Quebec, Canada
Список литературы находится в редакции.