Клинико-фармацевтические аспекты применения комплексного гомеопатического препарата Инфлюцид®

Клинико-фармацевтические аспекты применения комплексного гомеопатического препарата Инфлюцид<sup>®</sup>

Практически каждая зима не обходится без острых респираторных вирусных инфекций (ОРВИ), особенно у детей. Эти заболевания обычно связаны с понижением иммунитета и распространением различных острых респираторных вирусных инфекций, нередко с осложненным

В. П. Черных, д. ф. н., д. х. н., профессор, член-корреспондент НАН Украины, ректор НФУ; В. А. Георгиянц, к. ф. н., доцент, заведующая научно-методической лабораторией по вопросам фармацевтического образования;
И. А. Зупанец, д. м. н., профессор, заведующий кафедрой клинической фармации; Национальный фармацевтический университет, г. Харьков

Практически каждая зима не обходится без острых респираторных вирусных инфекций (ОРВИ), особенно у детей. Эти заболевания обычно связаны с понижением иммунитета и распространением различных острых респираторных вирусных инфекций, нередко с осложненным течением. Терапия ОРВИ симптоматическая и включает в себя самые разнообразные лекарственные препараты, от жаропонижающих до иммуностимуляторов. Снижение защитных сил организма при заболевании, обилие медикаментов иногда неблагоприятно сказываются на его течении. В настоящее время наблюдается тенденция к использованию комплексных препаратов растительного происхождения, в том числе гомеопатических лекарственных средств, которые обладают широким спектром действия на все звенья патогенеза и клинические симптомы ОРВИ.

Одним из наиболее известных препаратов этой группы является комплексный гомеопрепарат Инфлюцид. В отличие от других препаратов этой группы, Инфлюцид признан классическим комплексным гомеопатическим лекарственным средством, которое можно назначать на любой стадии ОРВИ. Он также предупреждает развитие постгриппозной астенизации [4].

Эффективность и переносимость препарата изучались в ходе открытого мультицентрового клинического исследования у 234 детей в возрасте от 1 до 12 лет. На 3-й день заболевания симптоматика ОРВИ значительно улучшилась у 93,6% пациентов, к 7-9-му дню полное отсутствие симптомов наблюдалось у 86,6% детей. Переносимость препарата отмечалась как очень хорошая или хорошая в 99,6% случаев, побочных эффектов практически не наблюдалось [3]. Аналогичные результаты получены львовскими авторами. Инфлюцид назначали детям в первые 1-2 дня болезни по 10 капель или по 1 таблетке до 8 раз в день, затем в поддерживающем режиме — 3 раза в день. Полученные результаты подтвердили высокую эффективность и безопасность применения Инфлюцида у детей при ОРВИ [1].

Инфлюцид &;#151; комплексный гомеопатический препарат, включающий преимущественно растительные ингредиенты. В его состав входят вещества, каждое из которых играет определенную роль в лечении и профилактике ОРВИ [5].

Aconitum napellus — снижает температуру тела, быстро устраняет воспаление слизистой оболочки верхних дыхательных путей в острой стадии заболевания.

Gelsemium sempervirens — снимает головную боль, слабость и разбитость, устраняет насморк, облегчает дыхание.

Ipecacuanha — разжижает вязкую мокроту, ускоряет выздоровление при респираторных заболеваниях.

Phosphorus — стимулирует защитные силы организма, повышает его сопротивляемость вирусным инфекциям.

Bryonia alba — устраняет сухой раздражающий кашель и ощущение жжения слизистых оболочек дыхательных путей.

Eupatorium perfoliatum — ликвидирует озноб, устраняет ломоту в суставах и боль в мышцах.

Самым известным и изученным из растений, входящих в состав препарата, является аконит. Это растение издавна применяется в народной медицине многих стран. С лечебной целью используются корни, точнее корнеклубни, иногда и другие части растения.

Настойка корней аконита двух видов — каракольского и джунгарского — внесена в Государственную Фармакопею СССР 8-го издания. Настойка корней аконита является составляющей комплексного препарата Акофит, применявшегося для лечения радикулитов, невралгии. Настойка цветущей травы аконита джунгарского входила в состав комплексного препарата Ангиноль (Эхинор), назначавшегося при ангинах.

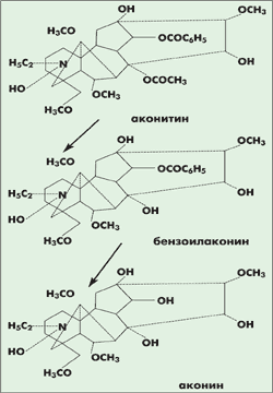
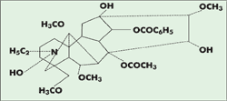
Все части растения содержат дитерпеновые алкалоиды, связанные с аконитовой кислотой, главный из которых — аконитин.

При нагревании аконитина с водой отщепляется уксусная кислота и образуется менее токсичный бензоилаконин. В дальнейшем при гидролизе отщепляется бензойная кислота и образуется еще менее токсичный аконин.

В аконите установлено наличие миристиновой, пальмитиновой, стеариновой, олеиновой и линолевой кислот. Клубни содержат также флавоны, сапонины, смолы, крахмал, кумарины; листья и стебли, кроме алкалоида аконитина, — инозит, дубильные вещества, аскорбиновую кислоту, флавоноиды, микроэлементы и другие биологически активные соединения [2].

Среди выделенных биологически активных соединений из цветков аконита, кроме известных глюкопиранозидов, обнаружены с помощью спектроскопии ПМР три гликозида флавоноидов: кверцетин-7-O-(6-транс-каффеоил)-b-глюкопиранозил-(1—>3)-a-рамнопиранозид-3-O-b-глюкопиранозид, кемпферол-7-O-(6-транс-каффеоил)-b-глюкопиранозил-(1—>3)-a-рамнопиранозид-3-O-b-глюкопиранозид и кемпферол-7-O-(6-транс-p-кумароил)-b-глюкопиранозил-(1->3)-a-рамнопиранозид-3-O-b-глюкопиранозид [21, 35].

Из растений видов Delphinium, Consolida и Aconitum выделены 29 дитерпеновых и недитерпеновых алкалоидов и испытаны на репеллентную активность против Tribolium casteneum (Herbst). Из 29 испытанных алкалоидов у 21 соединения показана значительная активность, наибольшая — у дитерпенового алкалоида гетизина (59,37%) [26].

Корни растений вида Аконит издавна применяют в китайской народной медицине для купирования боли и лечения заболеваний сердца. Основной компонент растений — алкалоид аконитин, который может индуцировать некоторые неврологические эффекты. Многие виды аконита содержат алкалоид лаппаконитин, структура которого похожа на аконитин. Исследования показали, что лаппаконитин блокирует натриевые каналы сердца, его действие ингибируется бупивакаином [52]. Установлено, что этот алкалоид и его метаболит — N-диацетильное производное — обладают антиаритмическим действием.

Экстракт алкалоидов из корней аконитов в различных формах используют в народной и гомеопатической медицине как противовоспалительное и анальгетическое средство, для лечения ревматических и неврологических заболеваний. Эти их действия были доказаны экспериментально [48, 49]. Алкалоид аконитин снижает температуру тела с повышенной до нормальной. Механизм этого действия остается пока невыясненным. Многие из алкалоидов кардиотоксичны и способны вызывать аритмии, гомеопатические разведения позволяют этого избежать [16]. Проведены также нейрохимические и нейрофизиологические исследования для установления механизма действия алкалоидов аконита на центральную нервную систему [8]. По химической структуре алкалоиды аконита делятся на три группы. Представители первой группы — дитерпеновые алкалоиды с двумя сложноэфирными группами оказались наиболее токсичными. Эти соединения ингибируют эффекты норадреналина и благодаря активации натриевых каналов оказывают антиноцицептивное действие. Во вторую группу вошли менее токсичные моноэфиры, которые показали сильное антиноцицептивное, антиаритмическое и антиэпилептиформное действие. Третья группа алкалоидов представлена веществами без сложноэфирной связи в молекуле. Эти соединения наименее токсичны и действуют через натриевые каналы мозга и сердца [8]. Представители всех трех групп оказывают анальгетический (антиноцицептивный) эффект [6,31]. Аконитин, лаппаконитин и 6-бензоиллаппаконитин на бикукуллиновой модели судорожного синдрома показали выраженное защитное действие [9]. Было изучено влияние алкалоидов талитасамина и 14-бензоилталитасамина, являющихся структурными аналогами аконитина, на ЦНС. Оказалось, что талитасамин, в отличие от своего бензоилированного производного, не проявил антиэпилептиформного эффекта [7]. Аконитовые алкалоиды дитерпенового типа: кобусин, псевдокобусин и их эфирные производные влияют на периферическую вазоактивность. Производные псевдокобусина оказались значительно активнее своих аналогов, причем активность увеличивалась при этерификации гидроксильной группы в 6-м положении [18].

Разработана методика определения 14 аконитовых алкалоидов, в том числе аконитина, мезаконитина, джезаконитина, диоксиаконитина, аконина в крови и моче человека с использованием жидкостной хроматографии с твердофазной экстракцией или капиллярной жидкостной хроматомасс-спектрометрии [17, 36]. Этот метод позволяет определить даже следовые количества алкалоидов. Алкалоиды дитерпенового типа с двумя сложноэфирными группами и продукты их гидролиза определяются в биологических жидкостях с помощью газовой хроматографии [30, 42].

Аконит является весьма токсичным, однако гомеопатическая динамизация устраняет его токсические свойства, сохраняя лечебные. Использование аконита в гомеопатических дозах показано при целом ряде заболеваний [5].

Ипекакуана также весьма известное растение, издавна применяющееся в медицине. Разные виды его содержат различное количество алкалоидов, основными из которых являются эметин и цефаэлин. Основа структуры этих алкалоидов — изохинолин, однако они составляют отдельную биогенетическую группу [2]. Структурно эметин имеет сходство с папаверином.

Из сушеных корней Cephaelis acuminata, кроме эметина, цефаэлина, психотрина и протоэметина, выделены пять новых ипекакуановых алкалоидов типа цефаэлина, строение которых подтверждено спектральными и химическими методами [41].

Сироп ипекакуаны применяется в народной медицине с XVI века в роли лекарственного средства [41, 51]. Ученые исследовали механизм действия сиропа ипекакуаны и основных алкалоидов этого растения — цефаэлина и эметина на ЦНС. Установлено, что все агенты действуют на нервную систему, усиливая вагусную активность. Кроме того, обнаружена высокая аффинность сиропа к 5-НТ4- и 5-НТ3-рецепторам [39, 51]. Фармакокинетическое действие цефаэлина и эметина изучалось на добровольцах. Алкалоиды определяли в биологических жидкостях методом обратнофазной жидкостной хроматографии. Максимальная концентрация в крови наблюдается через 20 минут после приема сиропа. Площади под кривыми «концентрация-время» похожи у обоих алкалоидов. Менее 15% принятого количества эметина и цефаэлина обнаруживается в моче через 3 часа после приема. Связи рвотного эффекта с пиком концентрации не наблюдалось [47].

Gelsemium sempervirens, или жасмин вечнозеленый, экзотическое для Украины растение. Это — традиционное средство народной медицины в Америке и Китае, а также в некоторых других странах. В Америке растение использовали для лечения мигрени и невралгий.

Химический состав растения представлен, в основном, эргоалкалоидами [15]. Несмотря на многообразие химических веществ, они все выделены и изучены. Среди них: 9-гидроксисемперозид, бразозид, фабиатин, гельседин (угнетают ЦНС); гельсемицин (угнетает ЦНС, дыхание, является конвульсантом, обладает гипотензивным эффектом); гельсемид и его гликозид, гельсемидин (угнетают ЦНС); гельсемин (анальгетик, угнетает ЦНС, обладает кардиодепрессивным, гипотензивным эффектами); гельсемиол, гельсеменин, гельсевирин. Кроме специфичных для жасмина веществ, обнаружены скополетин, эскулетин и танин, известные своим широким спектром фармакологической активности, в том числе и противовирусной [15].

Как многие другие лекарственные растения, жасмин (Gelsemium sempervirens) в больших дозах также довольно токсичен. Известны случаи токсического отравления животных травой жасмина с возникновением сильных судорог [32]. В малых дозах этот растительный препарат в эксперименте на животных проявил значительное нейротропное и защитное действие в условиях экспериментального стресса [34]. Кроме того, изучение судорожного эффекта ряда гомеопатических препаратов у крыс показало, что жасмин в меньшей мере, чем другие вещества в гомеопатических дозах, вызывает каталепсию [50].

Китайские ученые установили противоопухолевое действие жасмина, заключающееся в угнетении роста карциномы печени у животных, определили, за счет каких биологически активных веществ проявляется это действие. При метанольной экстракции стеблей жасмина вечнозеленого выделены новые производные прегнана, на моделях показано их цитотоксическое действие, индольные алкалоиды этого растения оказались неактивны [45]. Жасмин может усиливать эффекты аспирина и фенацетина [27].

Eupatorium perfoliatum известен под названиями костоправ и посконник. Чай из этого растения использовали еще первые поселенцы Америки как лекарство при простуде, насморке, болях в костях, сильной лихорадке, головной боли.

В различных странах применяют те виды посконников, которые там произрастают, по-видимому, похожий химический состав обусловливает одинаковое использование этого сырья в народной медицине. Экстракты некоторых видов посконников, произрастающих в Аргентине, показали антимитотическую активность на опухолевых моделях наряду с иммуномодулирующими свойствами [24].

Из посконника выделены сесквитерпеноиды типа гермакрана, эфиры ненасыщенных кислот, лактоны с двумя атомами хлора, 2-a-ацетоксиэпитулипинолид [46]. Из высушеных стеблей и листьев получены четыре твердых экстракта — гексановый, дихлорметановый, метанольный и этанольный. Из гексанового экстракта выделены две фракции, а из дихлорметанового — три активных вещества (нейроленин В, лобатин А и лобатин В). Все полученные фракции испытаны in vitro для выявления их активности против Plasmodium falciparum. Значительную противомалярийную активность показали дихлорметановый и метанольный экстракты и нейроленин В [11]. Такая же активность была показана у сесквитерпеновых лактонов типа эусманолида и отдельно гвайянолид, полученных из листьев одного из видов посконника в Гватемале [14].

Гексановая вытяжка из Eupatorium glutinosum протестирована против двух грамположительных и двух грамотрицательных бактерий. Полученные результаты подтвердили правомочность использования посконников как антимикробных агентов [13]. Очень высокая антибактериальная и противогрибковая активность были также показаны в эфирной и метанольной вытяжках из листьев Eupatorium ayapana [12].

Фитохимическое исследование твердого экстракта корней Eupatorium purpureum позволил обнаружить бензофураны, эупарин, эупарон, 6-гидрокси-3-b-метокситрематон и новый 5-ацетил-6-гидрокси-2-(1-оксо-2-ацетоксиэтил)-бензофуран. Индивидуальные вещества, в отличие от комп-лексной вытяжки, не показали противовоспалительной активности ни in vitro, ни in vivo [22]. В то же время у скополетина, 5,7,5’-тригидрокси-3,6,2’,4’-тетраметоксифлавона и центауредина, изолированных дихлорметаном из Eupatorium buniifolium, выявлено значительное противовоспалительное действие уже в дозе 1 мг/кг массы тела [40].

Бриония, или переступень белый, относится к семейству тыквенных и также широко используется в медицинской практике. Настойку свежих корней растения используют как болеутоляющее и раздражающее средство, раньше она входила в состав препарата Акофит. Таблетированную форму Лоштак применяют как тонизирующее, радиопротекторное и иммуномодулирующее средство [2]. В итальянской провинции Лукка брионию использовали от «дурного глаза» [38]. В Линкольншире и графствах северной Англии брионию часто называют мандрагорой.

Корни растения содержат тритерпеноиды (кукурбитацины B, L ,D (элатерицин А), Е (a-элатерин), I (элатерицин В и другие), алкалоиды, эфирное масло, холин, 3-гидроксиоктадекадиеновые кислоты, липиды, стероиды, флавоноиды, кумарины, полисахариды, сахарозу [2].

Корень переступня белого широко применяют в качестве адаптогенного препарата с иммуномодулирующими и стрессзащитными свойствами, повышающего неспецифическую резистентность организма. Установлено, что этот препарат не обладает генотоксичностью [33].

Из корней Bryonia dioica, также используемого в гомеопатических целях, экстракцией метанолом выделены тритерпеновые гликозиды: кабенозид, бриоамарид и семь новых бриониозидов. Структура соединений подтверждена спектральными и химическими методами. Все соединения продемонстрировали высокий противовоспалительный эффект [10].

Бутанольный экстракт брионии, произрастающей в Иордании, показал высокую противогрибковую активность против Aspergillus flavus, Fusarium moniliforme и Candida albicans, сопоставимую с таковой у миконазола [29].

Обнаружено, что одно из основных действующих веществ переступня белого — кукурбитацин R диглюкозид — способен образовывать кортикостероиды и участвовать в биосинтезе эйкозаноидов в адренокортикоидных клетках, плазме крови и лейкоцитах в условиях стресса и без него. Это соединение предотвращает вызванную стрессом альтерацию эйкозаноидов в крови и умеренно стимулирует адреналовую систему, что способствует адаптации организма к стрессу [37].

Исследование стандартизованного экстракта брионии с адаптогенными свойствами показало, что об эффективности его действия можно судить по количеству оксида азота в слюне [19].

Использование тригидроксиоктадекадиеновых кислот, полученных из корней брионии белой, изучалось на модели аллоксанового диабета у крыс. Установлено, что эти кислоты могут корректировать большинство метаболических нарушений, типичных для различных форм диабета, а также влиять на образование стабильных простагландинов.

Бриодин 1 — протеин, выделенный из растения Bryonia dioica, воздействует на клеточный синтез микроорганизмов, в частности Escherichia coli [20].

Кроме растительных, в состав Инфлюцида входит и минеральный компонент — фосфор. Не останавливаясь на аспектах гомеопатического применения этого ингредиента, следует отметить его широкое использование при истощении организма и способность повышать иммунитет.

Резюмируя приведенные данные, можно сделать вывод, что сочетание компонентов в комплексном гомеопатическом препарате Инфлюцид способствует ликвидации различных патологических процессов, возникающих при острых респираторных вирусных инфекциях. Противовирусное действие компонентов эффективно сочетается с иммунопотенцирующим влиянием.

Использование комплекса химических веществ растительного происхождения в гомеопатических разведениях позволяет избежать назначения медикаментозной терапии и, следовательно, предотвратить нежелательные реакции, особенно у детей. Поступление гомеопатических и растительных препаратов в аптечные учреждения Украины позволит не только эффективно лечить некоторые заболевания, но и проводить эффективную их профилактику.

Литература

  1. Беш Л.В. Ефективний гомеопатичний засіб лікування і профілактики ГРВІ у дітей // Аптека галицька, 2001, № 24, с. 3-4.
  2. Ковальов В.М., Павлій О.І., Ісакова Т.І. Фармакогнозія з основами біохімії рослин. Х., Прапор, 2000, 704 с.
  3. Майданник В.Г. Комплексний гомеопатичний препарат інфлюцид у лікуванні та профілактиці ГРВІ у дітей // Проблеми екології та медицини, 2000, № 4-6, с.19.
  4. Проць Н., Лопатинская О., Терещук С. Комплексные гомеопатические средства для лечения и профилактики гриппа в ассортименте аптек г. Львова // Провизор, 2000, № 21, с. 9-12.
  5. Шаретт Ж. Практическое гомеопатическое лекарствоведение. К., Украинская Советская энциклопедия, 1990, 205 с.
  6. Aconitum sp. alkaloids: the modulation of voltage-dependent Na+ channels, toxicity and antinociceptive properties / Friese J., Gleitz J., Gutser U.T. et al. //Eur. J. Pharmacol.- 1997.- Vol. 337, № 2-3.- Р. 165-174.
  7. Ameri A. Structure-dependent inhibitory action of the Aconitum alkaloids 14-benzoyltalitasamine and talitasamine in rat hippocampal slices //Naunyn Schmiedebergs Arch. Pharmacol.- 1998.- Vol. 357, № 6.- Р. 585-592.
  8. Ameri A. The effects of Aconitum alkaloids on the central nervous system // Prog. Neurobiol.- 1998.- Vol. 56, № 2.- Р. 211-235.
  9. Ameri A., Gleitz J., Peters T. Bicuculline-induced epileptiform activity in rat hippocampal slices: suppression by Aconitum alkaloids // Planta Med.- 1997.- Vol. 63, № 3.- Р. 228-232.
  10. Anti-inflammatory and anti-tumor-promoting effects of cucurbitane glycosides from the roots of Bryonia dioica / Ukiya M., Akihisa T., Yasukawa K. et al. // J. Nat. Prod.- 2002.- Vol. 65, № 2.- Р. 179-183.
  11. Antimalarial activity of neurolenin B and derivates of Eupatorium inulaefolium (Asteraceae) / Blair S., Mesa J., Correa A. et al. // Pharmazie.- 2002.- Vol. 57, № 6.- Р. 413-415.
  12. Antimicrobial activity of Eupatorium ayapana / Gupta M., Mazumder U.K., Chaudhuri I. et al. // Fitoterapia.- 2002.- Vol. 73, № 2.- Р. 168-170.
  13. Antimicrobial diterpenoids from Eupatorium glutinosum (Asteraceae) / El-Seedi H.R., Ohara T., Sata N., Nishiyama S.//J. Ethno-pharmacol.- 2002.- Vol. 81, № 2.- Р. 293-296.
  14. Antiplasmodial activities of sesquiterpene lactones from Eupatorium semialatum / Lang G., Passreiter C.M., Wright C.W. et al. // Z/ Naturforsch. [C]- 2000.- Vol. 57, № 3-4.- Р. 282-286.
  15. Beckstrom-Sternberg, Stephen M., James A. Duke, and K.K. Wain. «The Ethnobotany Database.» http://probe.nalusda.gov:8300/cgi-bin/browse/ethnobotdb.
  16. Bradycardia, reversible panconduction defect and syncope following self-medication with a homeopathic medicine / Guha S., Dawn B., Dutta G. et al. //Cardiology.- 1999.- Vol. 91, № 4.- Р. 268-271.
  17. Determination of Aconitum alkaloids in blood and urine samples. II. Capillary liquid chromatographic-frit fast atom bombardment mass spectrometric analysis / Ohta H., Seto Y., Tsunoda N. et al. // J. Chromatogr. B Biomed. Sci. Appl.- 1998.- Vol. 714, № 2.- Р. 215-221.
  18. Effects of Aconitum alkaloid kobusine and pseudokobusine derivatives on cutaneous blood flow in mice / Wada K., Ishizuki S., Mori T. et al. // Biol. Pharm. Bull.- Vol. 21, № 2.- Р. 140-146.
  19. Effects of heavy physical exercise and adaptogens on nitric oxide content in human saliva / Panossian A.G., Oganessian A.S., Ambartsumian M. et al.//Phytomedicine.- 1999.- Vol. 6, № 1.- Р. 17-26.
  20. Expression and characterization of bryodin 1 and a bryodin 1-based single-chain immunotoxin from tobacco cell culture / Francisco J.A., Gawlak S.L., Miller M et al.//Bioconjug. Chem.- 2000.- Vol. 8, № 5.- Р. 708-713.
  21. Flavonoids from Aconitum napellus subsp. neomontanum / Fico G ., Braca A ., De Tommasi N. et al.//Phytochemistry.- 2001.- Vol.57, № 4.- Р.543-546.
  22. Habtemariam S. Antiinflammatory activity of the antirheumatic herbal drug, gravel root (Eupatorium purpureum): further biological activities and constituents//Phytother. Res.- 2001.- Vol. 15, № 8.- Р. 687-690.
  23. Heubach J.F., Schоle A. Cardiac effects of lappaconitine and N-deacetyllappaconitine, two diterpenoid alkaloids from plants of the Aconitum and Delphinium species//Planta Med.- 1998.- Vol. 64, № 1.- Р. 22-26.
  24. Immunomodulating properties of Argentine plants with ethnomedicinal use / Fernandez T., Cerda Zolezzi P., Risco E. et al.//Phytomedicine.- 2002.- Vol. 9, № 6.- Р. 546-552.
  25. Inhibitory effect of gelsemium alkaloids extract on hepatic carcinoma HepG2 cells in vitro/Wang Y., Fang Y., Lin W. et al.// Zhong Yao Cai- 2001.- Vol. 24, № 8.- Р. 579-581.
  26. Insect repellent activity of diterpenoid alkaloids / Ulubelen A., Merigli A.H., Merigli F. et al.//Phytother. Res.- 2001.- Vol.15, № 2.- Р. 170-171.
  27. Ipecac alkaloids from Cephaelis acuminata /Itoh A., Ikuta Y., Baba Y. et al.//Phytochemistry.- 1999.- Vol. 52, № 6.- Р.1169-1176.
  28. Lininger, Schuyler W., Alan R. Gaby, Skye W. Lininger, and Jamie Miller. The Natural Pharmacy. Roseville, California: Prima Health, 1998.
  29. Mahasneh A.M., El-Oqlah A.A. Antimicrobial activity of extracts of herbal plants used in the traditional medicine of Jordan//J. Ethnopharmacol.- 1999.- Vol. 64, № 3.- Р. 271-276.
  30. Method for the simultaneous determination of Aconitum alkaloids and their hydrolysis products by gas chromatography-mass spectrometry in human serum / Ito K., Ohyama Y., Konishi Y. et al.//Planta Med.- 1997.- Vol. 63, № 1.- Р. 75-79.
  31. Mode of antinociceptive and toxic action of alkaloids of Aconitum spec / Gutser U.T., Friese J., Heubach J.F. et al.//Naunyn Schmiedebergs Arch. Pharmacol.- 1998.- Vol. 357, № 1.- Р. 39-48.
  32. Multiple animal intoxications associated with Carolina jessamine (Gelsemium sempervirens) ingestions / Thompson L.J., Frazier K., Stiver S., Styer E.//Vet. Hum. Toxicol.- 2002.- Vol.44, №5.- Р.272-273
  33. Nersesyan A.K., Collins A.R. Possible genotoxic activity of extracts of Bryonia alba roots on human lymphocytes and transformed cells// Neoplasma.- 2002.- Vol. 49, № 2.- Р.114-116.
  34. Neurotropic, immunological and gastric effects of low doses of Atropa belladonna L., Gelsemium sempervirens L. and Poumon histamine in stressed mice/Bousta D., Soulimani R., Jarmouni I. Et al. // J. Ethnopharmacol.- 2001.- Vol. 74, № 3.- Р.205-215.
  35. New flavonol glycosides from the flowers of Aconitum napellus ssp. Tauricum/Fico G ., Braca A ., Bilia A.R. et al.//Planta Med.- 2001.- Vol. 67, № 3.- Р. 287-290.
  36. Ohta H., Seto Y., Tsunoda N. Determination of Aconitum alkaloids in blood and urine samples. I. High-performance liquid chromatographic separation, solid-phase extraction and mass spectrometric confirmation //J. Chromatogr. B Biomed. Sci. Appl.- 1997.- Vol. 691, № 2.- Р.351-356.
  37. Panossian A., Gabrielian E., Wagner H. On the mechanism of action of plant adaptogens with particular reference to cucurbitacin R diglucoside // Phytomedicine.- 1999.- Vol. 6, № 3.- Р. 147-155.
  38. Pieroni A. Medicinal plants and food medicines in the folk traditions of the upper Lucca Province, Italy//J. Ethnopharmacol.- 2000.- Vol. 70, № 3.- Р. 235-273.
  39. Pharmacological aspects of ipecac syrup (TJN-119)-induced emesis in ferrets/Endo T., Nemoto M., Ogawa T. et al. // Res. Commun. Mol. Pathol. Pharmacol.- 2000.- Vol. 108, № 3-4.- Р.187-200.
  40. Phenolic compounds with anti-inflammatory activity from Eupatorium buniifolium / Muschietti L., Gorzalczany S., Ferraro G. et al. // Planta Med.- 2001.- Vol. 67, № 8.- Р.743-744.
  41. Quang L.S., Woolf A.D. Past, present, and future role of ipecac syrup //Curr. Opin. Pediatr.- 2000.- Vol. 12, № 2.- Р.153-162.
  42. Quantitative analysis of Aconitum alkaloids in the urine and serum of a male attempting suicide by oral intake of aconite extract / Mizugaki M., Ito K., Ohyama Y. et al. // J. Anal. Toxicol.- 2000/- Vol. 22, № 4.- Р.336-340.
  43. Restoration of the disordered glucose-fatty acid cycle in alloxan-diabetic rats by trihydroxyoctadecadienoic acids from Bryonia alba, a native Armenian medicinal plant /Karageuzyan K.G., Vartanyan G.S., Agadjanov M.I. et al. // Planta Med.- 1998.- Vol. 64, № 5.- Р. 417-422.
  44. Rudd J.A., Ngan M.P., Wai M.K. 5-HT3 receptors are not involved in conditioned taste aversions induced by 5-hydroxytryptamine, ipecacuanha or cisplatin // Eur. J. Pharmacol.- 1998.- Vol. 352, № 2-3.- Р.143-149.
  45. Schun Y., Cordell G.A. Cytotoxic steroids of Gelsemium sempervirens // J. Nat. Prod.- 2000.- Vol. 50, № 2.- Р. 195-198.
  46. Seven germacranolides, eupaglehnins A, B, C, D, E, and F, and 2alpha-acetoxyepitulipinolide from Eupatorium glehni // Tori M., Takeichi Y., Kuga H. et al. // Chem. Pharm. Bull. (Tokyo).- 2002.- Vol. 50, № 9.- Р. 1250-1254.
  47. Single dose pharmacokinetics of syrup of ipecac / Scharman E.J., Hutzler J.M., Rosencrance J.G., Tracy T.S. // Ther. Drug. Monit.- 2000.- Vol. 22, № 5.- Р. 566-573.
  48. Studies on the constituents of Aconitum species. IX. The pharmacological properties of pyro-type aconitine alkaloids, components of processed aconite powder ’kako-bushi-matsu’: analgesic, antiinflammatory and acute toxic activities / Murayama M., Mori T., Bando H., Amiya T. // J. Ethnopharmacol.- 1991.- Vol. 35, № 2- Р. 159-164.
  49. Studies on the constituents of Aconitum species. XII. Syntheses of jesaconitine derivatives and their analgesic and toxic activities / Mori T., Murayama M., Bando H., Kawahara N. // Chem. Pharm. Bull. (Tokyo).- 1991.- Vol. 39, № 2.- Р.379-383.
  50. Sukul N.C., Bala S.K., Bhattacharyya B. Prolonged cataleptogenic effects of potentized homoeopathic drugs // Psychopharmacology (Berl.).- 1986.- Vol. 89, № 3.- Р. 338-339.
  51. Trends in ipecac use: a survey of poison center staff / Marchbanks B., Lockman P., Shum S., Beard D. // Vet. Hum. Toxicol.- 1999.- Vol. 41, № 1.- Р. 47-48.
  52. Wright S.N. Irreversible block of human heart (hH1) sodium channels by the plant alkaloid lappaconitine // Mol. Pharmacol.- 2001.- Vol. 59, № 2.- Р.183-192.